In exteriorul triunghiului ascuțitunghic ABC se construieste triunghiul echilateral BCR.
Să se demonstreze că \[ AR = \sqrt {\frac{{{a^2} + {b^2} + {c^2}}}{2} + 2\sqrt 3 {\mathcal{A}_{ABC}}} \]
unde a=BC, b=AC, c=AB si \( \mathcal{A}_{ABC} \) reprezintă aria triunghiului ABC.
Triunghi echilateral construit in exteriorul unui triunghi
-
StancuDarius
- Mesaje: 1
- Membru din: 21 Feb 2023, 12:24
Rezolvare
După ridicare la pătrat, relatia de demonstrat devine
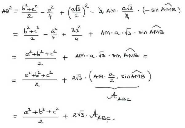
\[ AR^2 = \frac{{a^2} + {b^2} + {c^2}}{2} + 2\sqrt 3 {\mathcal{A}_{ABC}} \,\,\,\,\,\,\, (1)\]
Conform Teoremei lui Pitagora Generalizată:
\[A{R^2} = A{M^2} + R{M^2} - 2 \cdot AM \cdot RM \cdot \cos \widehat {AMR}\,\,\,\,\,\,\, (2)\]
Dar \( A{M^2} = \frac{{{b^2} + {c^2}}}{2} - \frac{{{a^2}}}{4} \) (teorema medianei), \( RM = \frac{{a\sqrt 3 }}{2} \) iar \(\cos \widehat {AMR} = \cos \left( {{{90}^o} + \widehat {AMB}} \right) = - \sin \widehat {AMB}.\)
Inlocuiesti toate acestea in relatia (2) si mai folosesti un ultim lucru, anume că
\[{\mathcal{A}_{ABC}} = 2 \cdot {\mathcal{A}_{AMB}} = 2 \cdot \frac{{AM \cdot MB \cdot \sin \widehat {AMB}}}{2} = AM \cdot MB \cdot \sin \widehat {AMB} = AM \cdot \frac{a}{2} \cdot \sin \widehat {AMB}.\]
\[ AR^2 = \frac{{a^2} + {b^2} + {c^2}}{2} + 2\sqrt 3 {\mathcal{A}_{ABC}} \,\,\,\,\,\,\, (1)\]
Conform Teoremei lui Pitagora Generalizată:
\[A{R^2} = A{M^2} + R{M^2} - 2 \cdot AM \cdot RM \cdot \cos \widehat {AMR}\,\,\,\,\,\,\, (2)\]
Dar \( A{M^2} = \frac{{{b^2} + {c^2}}}{2} - \frac{{{a^2}}}{4} \) (teorema medianei), \( RM = \frac{{a\sqrt 3 }}{2} \) iar \(\cos \widehat {AMR} = \cos \left( {{{90}^o} + \widehat {AMB}} \right) = - \sin \widehat {AMB}.\)
Inlocuiesti toate acestea in relatia (2) si mai folosesti un ultim lucru, anume că
\[{\mathcal{A}_{ABC}} = 2 \cdot {\mathcal{A}_{AMB}} = 2 \cdot \frac{{AM \cdot MB \cdot \sin \widehat {AMB}}}{2} = AM \cdot MB \cdot \sin \widehat {AMB} = AM \cdot \frac{a}{2} \cdot \sin \widehat {AMB}.\]