
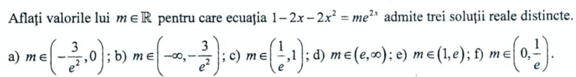
007 Numarul solutiilor unei ecuatii cu parametru
Re: 007 Numarul solutiilor unei ecuatii cu parametru
.
- Fişiere ataşate
-
- WhatsApp Image 2025-01-18 at 13.49.02_a60d4948.jpg (409.47 KiB) Vizualizat de 129440 ori
-
- WhatsApp Image 2025-01-18 at 13.49.01_e7341609.jpg (409.59 KiB) Vizualizat de 129440 ori